04.Integer Arithmetic
ALU
- 
算术逻辑单元 (Arithmetic and Logic Unit, ALU) 是计算机实际完成数据算术逻辑运算的部件
- 
数据由寄存器 (Registers) 提交给ALU, 运算结果也存于寄存器
 - 
ALU可能根据运算结果设置一些标志 (Flags), 标志值也保存在处理器内的寄存器中
 - 
控制器 (Control Unit) 提供控制ALU操作和数据传入送出ALU的信号
 
 - 
 
加法
全加器
- 
注意: 异或门只能由2个输入端, 故需要6个门, 3个与门, 1个或门, 2个异或门
 - 
优化: 实际需要2个与门, 1个或门, 2个异或门, 但是延迟更高了
 - 
不足: 延迟高
 
串行进位 (行波进位) 加法器 RCA
- 
实际就是将多个全加器连在一起
 - 
延迟:
- Cn = 2n
 - Fn = Cn-1 + 3 = 2(n - 1) + 3 = 2n + 1 (n ≥ 3, 当n = 1 或 2 时, F = 6)
 
 - 
不足: 高位的运算必须等待低位的"进位输出信号"
 - 
思考: 能否提前计算出"进位输出信号"?
 
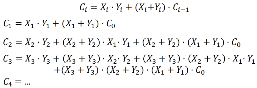
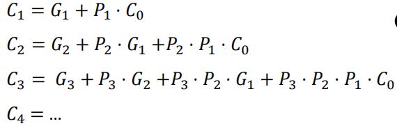
全先行进位加法器 CLA
- 
设:
- C0, Xi, Yi 都是已知输入
 - 生成 (Generate) 信号: Gi = Xi * Yi
 - 传播 (Propagate) 信号: Pi = Xi + Yi
 
 
               
         
- 
延迟:
- 1 (P和G同时计算) + 2 (C的与或门延迟依次计算) + 3 (F的第二个异或门延迟) = 6
 
 - 
优点: 延迟和加法器的位数无关
 - 
不足: 难以实现, 越到高位需要的与门越多
 
部分先行进位加法器
- 
采用多个CLA并将其串联, 取得计算时间和硬件复杂度之间的权衡
 
       
- 
延迟:
- 3 (第一个CLA算出C8的总延迟) + 2 (第二个CLA算C16的与或门延迟) + 2 (同前一个) + 5 (同前一个外还有F的第二个异或门延迟) = 12
 
 
溢出问题
减法
- 
溢出判断与加法相同
 
乘法
- 
特征: 乘数右移一位, 被乘数左移一位, 中间结果直接与部分积累加
 - 
需要: n位支持右移寄存器, 2n位支持左移寄存器, 2n位寄存器和2n位加法器
 
       
流程优化
- 
加法和移位并行
 
乘法器优化
- 
减少不必要的硬件
 
        
- 
需要: 1个n位加法器, 1个n位寄存器 (存被乘数), 1个2n位支持右移的寄存器 (乘数和乘积共用)
 
    
         
问题1 : [X * Y]c ≠ [X]c * [Y]c
原码一位乘法
- 
将被乘数和乘数由补码表示改为原码表示
 - 
符号位和数值位分开运算
 - 
将乘积结果由原码表示改为补码表示
 
	
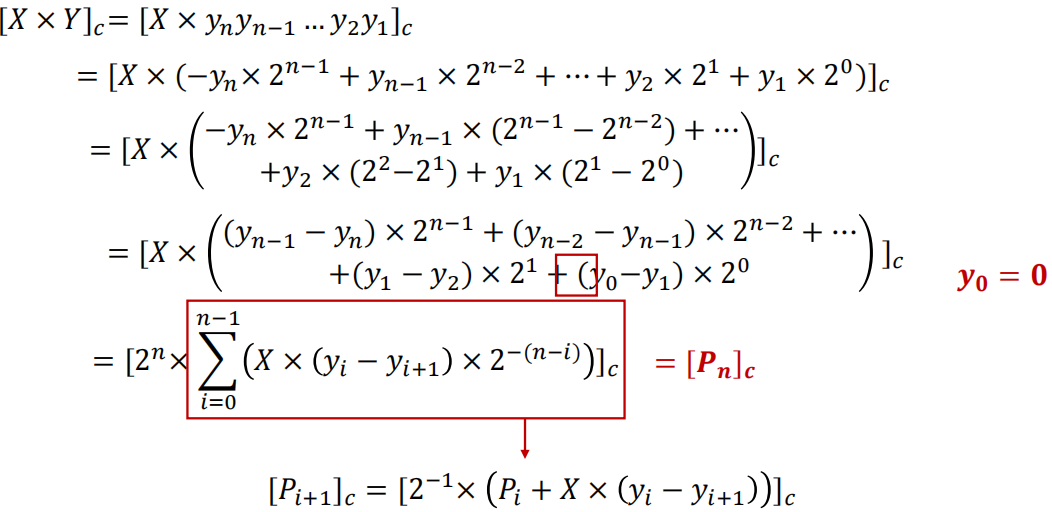
补码一位乘法 – 布斯算法
- 
运算步骤:
- 增加 y0 = 0
 - 根据 yi+1yi 决定是否执行 [Pi]c + [±X]c
 - 右移部分积
 - 重复 步骤2 和 步骤3 共n次, 得到最终结果
 
 
            
- 
补的第n位 = 原第n位
- 原来第n位为0, 右移后补0; 原来第n位为1, 右移后补1
 
 
问题2 : 溢出
- 
对于带符号整数
- 当 -2n-1 ≤ x * y ≤ 2n-1 - 1 时不溢出
 - 即: 当乘积的高n位全0或全1, 并等于低n位的最高位时, 不溢出
 
 - 
对于无符号整数
- 当 0 ≤ x * y ≤ 2n - 1 时不溢出
 - 当乘积的高n位全0时, 不溢出
 
 
           
除法
- 
在被除数的左侧补充符号位, 将除数的最高位与被除数的次高位对齐
 - 
从被除数中减去除数, 若够减, 则上商为1; 若不够减, 则上商为0
 - 
右移除数, 重复上述步骤
 
         
除法器
- 
需要:
- 一个2n位的加法器
 - 一个2n位的寄存器 : 被除数/余数
 - 一个2n位支持右移的寄存器 : 除数
 - 一个n位支持左移的寄存器 : 商
 
 
运算过程
流程图
除法器优化
- 
余数和除数的减法运算中, 实际上只有n位参与了运算
 - 
余数和除数寄存器中, 至少有一个需要支持左移或右移
 - 
商寄存器必须支持左移, 且只需要n位
 
       
- 
需要:
- 一个n位加法器
 - 一个n位支持左移的寄存器 : 被除数/余数
 - 一个n位支持左移的寄存器 : 余数/商
 - 一个n位寄存器 : 除数
 
 
异号的除法
- 
异号, 商需要取补码, 余数本身就是补码
 
        
比较余数和除数 (比较绕, 多理理)
- 
如何判断 “够减” : 余数是否足够"大"
- 如果余数和除数的符号相同 : 减法
 - 如果余数和除数的符号不同 : 加法
 - 够 : 补1; 不够 : 补0恢复
 
 
              
- 
余数减除数后
- 绝对值变小
 - 符号不能变 (0视为不变)
 
 
运算过程
流程图
问题 : 恢复余数成本高
- 
思路: 不恢复余数
- 只考虑减法
- 如果余数Ri足够大 : Ri+1 = 2Ri - Y
 - 如果余数Ri不够大 : Ri+1 = 2(Ri + Y) - Y = 2Ri + Y
 
 
 - 只考虑减法
 
补码不恢复余数除法
- 
最后还要判断余数和除数是否相同, 若相同要进行处理**(这是不恢复余数除法的固有bug)**
 
其他
- 
只有一种情况发生溢出
- 当 -2n-1 / -1 = 2n-1 时
 
 - 
编译器处理一个变量与2n相除时, 一般采用右移运算实现
- 无符号: 逻辑右移
 - 带符号: 算术右移
 - 能整除时: 直接右移得到结果, 被移除的全为0
 - 不能整除时: 被移出数存在非0, 采取朝零舍入
- 无符号: 直接右移得到结果, 移出的低位直接舍弃
 - 带符号: 加偏移量2k - 1, 然后再移k位, 低位截断
 
 
 
                     












































